The IEEE, PCA and the Local Organizing Committee have all been closely monitoring the situation regarding the Coronavirus pandemic. The safety and well-being of the conference participants was ...
Kawasaki Heavy Industries, Ltd. has announced its receipt of an order from the Taiheiyo Cement Corporation to supply a cement plant waste heat recovery power generation (WHRPG) system to their Saitama...
On 01.01.2020 the companies Retsch Technology GmbH, Microtrac Europe GmbH and BEL Europe GmbH have merged to become the new Microtrac Retsch GmbH. This new constellation allows users of particle...
LafargeHolcim is increasing its commitment to provide low-carbon and affordable housing solutions in Africa by adding further production capacity for its Durabric soil-stabilized bricks. As part of...
The Russian construction company ASK Cement is building a cement plant – literally on a green field – near Yekaterinburg in the Ural region. Aumund Fördertechnik GmbH is significantly involved in the...
Andy Murphy has joined Hanson Cement, part of HeidelbergCement Group, as national Commercial Director. He reports directly to CEO Simon Willis and assumes commercial responsibility for the cement...
Effective from 01.02.2020, Matthias Mersmann has been appointed by the Supervisory Board as a new member of the Management Board of KHD Humboldt Wedag International AG. He contributes his long-term...
The general meeting of the Working Group Machines in Construction MiC 4.0 on 24.01.2020 in Berlin took the topic of standardized machine data of the international standard ISO 15143-3 into the next...
CheckProof is an app for digital checklists and case reporting, developed for operators and maintenance personnel. After concluding an agreement with one of the world’s largest producers of...
This winter, the Westkalk company is investing in the renewal of conveyor belts and the technical infrastructure in the local quarries. In total, the winter work this year has a volume of over € 34000...
HeidelbergCement’s British subsidiary Hanson UK is taking part in a research project on the use of climate-neutral fuels for cement production. The project investigates the potential to reduce carbon...
Cemex has announced that its social programs designed to enhance and develop employability capabilities for youth supported approximately 45000 people in 11 countries.Since 2014, Cemex has...
Coming to FLSmidth from Wärtsilä, Mikko Tepponen brings extensive knowledge in digital transformation of industrial companies. His experiences include the digital framework around topics such as...
In 2018, ECO-Zoloproduct invest LLC started the construction of a modern high-tech lime production plant with the trademark ROSCA in Kassimow city, in the Ryazan region. The main products of the new...
Nowadays, the cement industry is constantly innovating to help its emission reduction targets and is willing and able to provide policy-makers with advice on how to develop and build a sustainable...
At Beumer Group, the people are considered to be a part of the Beumer family, not a resource. Employees should develop further and not be consumed (like a resource). This is why the company calls its...
Asia Cement Company Ltd (Korea) awarded Humboldt Wedag GmbH, a subsidiary of KHD Humboldt Wedag International AG, with a supply and engineering contract for the modernization of its third clinker...
Mr. Mahendra Singhi, Managing Director & CEO – Dalmia Cement (Bharat) Limited, and Mr. Nilesh Narwekar, CEO – JSW Cement, have been elected as the Chair and Co-chair respectively of the GCCA India to ...
During the 2020 World of Concrete in Las Vegas/Nevada in February the Portland Cement Association (PCA) held a press conference, where PCA Senior Vice President and Chief Economist Ed Sullivan ...
Erection works are well under way at the LafargeHolcim Maroc project site in Souss/Morocco. Following an intense civil work phase, during which the single trusses were preassembled and equipped with ...
LafargeHolcim CEO Jan Jenisch has joined the Call to Action for Business Leadership on Human Rights by the World Business Council for Sustainable Development (WBCSD). Leaders who join the initiative ...
GCP Applied Technologies, a leading global provider of construction products technologies, introduced a new smart digital solution that optimizes product selection for cement producers, resulting in...
The Flender Group, part of Siemens AG Portfolio Companies, has a new CEO. As of 01.04.2020, Andreas Evertz has been appointed as additional Managing Director and will succeed retiring Stefan Tenbrock ...
A new conveyor belt cleaner has been designed with an innovative method of holding the urethane blade in place without the need to mill any slots for holding pins. Combining the benefits of previous...
Digitization, product tracking, iOT, artificial intelligence: in production, this involves using machine data to optimize and automate processes. Modern software solutions such as GRAFiT 4.0 present...
The new AP182 pallet labeller from Bluhm Systeme GmbH has been specially developed for labels in sizes up to 150 x 210 mm. It is therefore particularly suitable for pallet labelling on one, two or...
Vecoplan AG celebrated its 50-year anniversary last year – and the company can look back on an impressive history. The Westerwald enterprise continued its successful development in 2019. Vecoplan is...
Major cement manufacturers have taken measures to ensure compliance with the gradually increased limitations for nitrogen oxide and ammonia emissions. Anhui Conch Cement Co., Ltd., a leading company...
This article presents experimental research results data and optimization of a two-stage cyclone-type dust concentrator and the design and operating parameters data. To resolve the assigned...
Many approaches have been developed to evaluate the reactivity of GBS in cementitious systems based on glass content, chemical composition, fineness, etc. However, a general method could not be found....
(22) 14.09.2017(43) 21.03.2019(57) Disclosed a cement slurry, characterized by comprising the following components in parts by weight: 25-40 parts of cement, 2-4 parts of PVC, 3-5 parts of ethyl...
(22) 15.05.2018(43) 21.11.2019(45) 23.01.2020(57) Die vorliegende Erfindung betrifft ein Verfahren zur Verbesserung der Produktivität von Mahlanlagen, wobei nach dem Einstellen der optimalen...
(22) 24.07.2018(43) 30.01.2020(57) Vorrichtung (1) zur Herstellung eines offenen Sackes (100) aus wenigstens einer Lage eines im Wesentlichen flexiblen Sackmaterials (101) und Verfahren zur...
(22) 11.09.2018(45) 23.01.2020(57) Hauptanspruch: Sack (1) für Schüttgut mit einem gefalteten Boden (2) und mit einem dem Boden (2) gegenüberliegenden, gefalteten Oberteil (3), wobei der Boden (2)...
(22) 05.06.2018(43) 16.12.2019(57) The subject of the application is an iron-bearing composite used in the production of Portland clinker. This composite is a mixture that contains fine-grained waste...
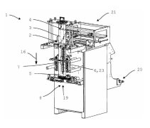
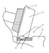
(22) 13.06.2019(43) 19.12.2019(57) A conveyor grate (10) for conveying bulk material, preferably cement clinker, in a conveying direction, wherein the conveyor grate (10) has at least two conveying...
(22) 01.07.2019(43) 09.01.2020(57) The present invention relates to a method and to a device for operating a production system in which at least one production process which consumes electrical energy...
(22) 27.06.2019(43) 02.01.2020(57) A method for producing thermally insulated concrete by making use of treated, and preferably recycled, plastic as an aggregate ingredient. In particular, plastic...
(22) 26.06.2019(43) 10.01.2020(57) The present invention relates to the field of building materials, and more particularly to cement concrete mixtures used in production of roads and other traffic...
This contribution reports on the optimization of the multicomponent CEM II/C-M (S-LL) cement, a cement type which is intended to be introduced with a revised version of the EN 197-1. The replacement...
Reactive service calls and maintenance according to plan are being replaced with service technologies that employ digital tools. Less unscheduled downtime, more precise troubleshooting and optimized...
In the past editions I have written in a rather abstract way about “process optimization” time and time again – and you may be asking yourself: what does that mean in a specific case? The question is ...
Preserving and enhancing biodiversity offers the cement industry an excellent opportunity to make a positive contribution to both the environment and the societies in which it operates. This article...
For more than 100 years, chains have been made in the German town of Wickede. Today, Managing Director Alexander Koch is the third generation of his family to head Heko Ketten GmbH. The company...