Investigations into the influence of chemical activators and templates on cement hydration
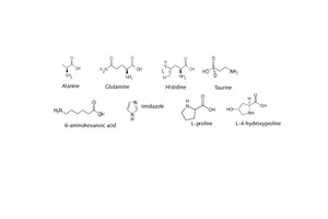
The strength of hydrated cement and its cohesive properties are determined to a great extent by the structure of the calcium silicate hydrate phases. There is a description of investigations into the crystallization of calcium silicate hydrate (tobermorite) in the presence of various amino acids that lead to significant changes in the elementary cells.
1 Introduction
The most successful ways of reducing the emission of CO2 during the production of cement are currently based on the use of cement replacement materials and their activation. The investigations and applications have focused on slags, natural pozzolans (trass) and synthetic pozzolans (fly ash, metakaolins and calcined clays) as the cement replacement materials. Low early strengths are often a reason why cement replacement materials are not yet widely used. Familiar options for raising the early strengths and for activation are based on reactions in the early phase of cement...
