Research on the shrinkage behavior and hydration degree of cement mortars with silane
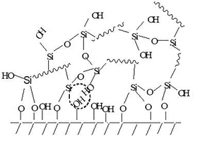
The silane coupling agent has provided some operational, technical and economic advantages in cementitious materials with the development of science and technology. In this paper, the modified cement mortars were prepared with the incorporation of 1%, 3% and 5% silane coupling agents into ordinary cementitious materials. The influences of γ-Aminopropyltriethoxysilane on the shrinkage percentage, porosity and degree of hydration of cement materials at different curing ages were researched systematically. Non-evaporating water and Differential Scanning Calorimetry (DSC) were used to analyze the degree of hydration of the silane-modified cement pastes. At the same time, the pore structures of cement mortars incorporating different Silane contents were characterized using a porosity test and the X-ray Computed Tomography (X-CT) analysis. The experimental results indicated that the incorporation of silane decreased generally the shrinkage percentage and degree of hydration of modified cement mortars and improved the porosity compared with that of the control cement mortars. In addition, the microscopic analysis of XRD and DSC testings revealed the hydration mechanism, and the pore structure model of cement mortar was set using X-CT.
1 Introduction
With the development of economy, infrastructure construction is in full swing, which has led to the development of structural engineering and the increasing demand for concrete year by year [Aitcin et al, 2000]. The concrete production has exceeded 70000 million m3 in 2022 around the world, which provides a great opportunity for the development of concrete industry and also brings new research topics on the durability of concrete [Medeiros et al, 2008]. The durability of concrete directly affects the service quality and service life of concrete structures, especially the...
