Full modular control system for gravimetric dosing applications
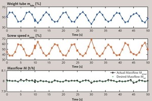
The efficient implementation of accurate gravimetric dosing system for material feeding or blending in cement plants require both, a reliable mechanical platform and a robust, precise and ergonomic control system. The new ODM-GravitAS control system is a modular and open architecture for a wide range of gravimetric dosing devices. This article introduces the novel control strategy for its usage with the innovative tubular weighing system ODM-WeighTUBE® for the dosing of alternative fuels and other bulk materials.
1 Introduction
The integration of reliable and accurate gravimetric dosing systems into conveying lines for bulk materials, e.g. alternative fuels, can be considered as an important engineering stage in order to build up efficient and economically feasible material feeding or blending plants. In this context several different technologies for the metering of bulk material, such as belt weigh feeders or differential dosing units, have been applied in the past in the cement industry. The decision for a particular dosing technology depends mainly on the individual specifications of the bulk...
