Formation characteristics of self-generated nitrogen oxides in a cement precalciner
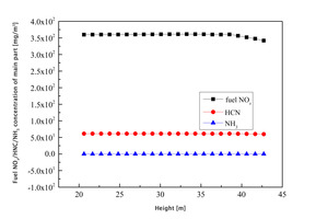
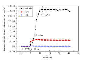
The study of the generation characteristics of self-generated NOx in a cement precalciner is very important for controlling NOx emissions. The characteristics of three types of self-generated nitrogen oxides in a precalciner were studied by numerical simulation, based on a precalciner with a daily output of 5000 t/d. The order of magnitude of thermal NOx generated in a precalciner environment is 10-7~10-6 mg/m3, of prompt NOx is 10-3 mg/m3 and of fuel NOx is 102 mg/m3. The concentrations of the first two are much lower than fuel NOx, so the self-generated NOx in a precalciner is mainly fuel NOx. The concentration of fuel NOx reaches its highest value of 366 mg/m3 near Z = 14.29 m and its concentration then remains between 355 and 366 mg/m3.
1 Introduction
NOx is one of the main components of air pollution, and coal combustion is the main source of nitrogen oxides. Countries and local governments have formulated more and more stringent restrictions on NOx emissions in order to control the increasingly serious NOx pollution [1-3]. Investigations and research have shown that China’s cement output of 2.377 billion t in 2020 resulted in NOx emissions of about 1.603 million t. The cement industry is still one of the main sources of NOx and, if not properly handled, will become the main source of pollution. This will affect the...
