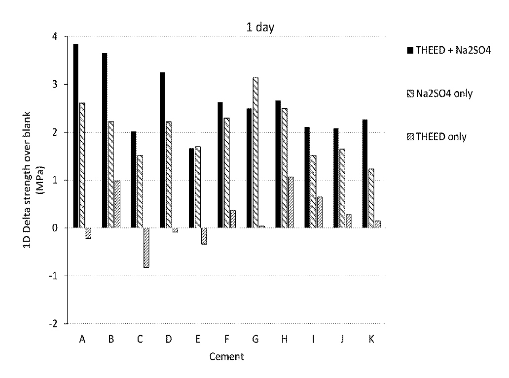
Early strength enhancement of cements
(22) 25.10.2017
(43) 20.02.2020
(57) A method of making a cement composition, comprising grinding a cement clinker and a strength-enhancing agent, thereby producing a hydraulic cementitious powder, wherein the strength-enhancing agent is present in the hydraulic cementitious powder in an amount of from 0.001% to 0.09% based on dry weight of the hydraulic cementitious powder. The strength-enhancing agent is a compound represented by the following structural formula (I). The definitions of variables R‘, R2, and R3 as well as RH‘, R20, and R3° are provided herein.
(71) GCP Applied Technologies Inc., Cambridge, MA (US)
